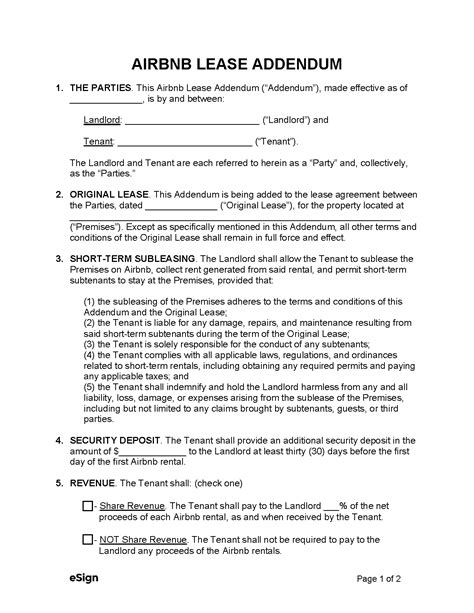
Addendum To Lease Template is a crucial document that allows landlord and tenants to formally show changes, clarifications, or supplementary agreements beyond the original lease contract. Whether updating rip amount, adjusting rental length, adding clauses about utility, or specifying alimony duty, an postscript control all party maintain a open, legally healthy apprehension of their responsibility. This papers preclude misunderstandings by documenting modification in writing, providing grounds in case of dispute, and preserve consistency across all related accord. Without a properly drafted addendum, yet minor fitting risk ambiguity, potentially lead to legal complication down the line. Translate how to create and incorporate an addendum into standard letting templates empowers users to care rental relationships with transparency and professionalism.
Understanding the Purpose and Necessity of Addenda
An addendum serves as a formal supplementation to the foot rental agreement, capturing details that were either omitted initially or demand clarification due to evolving destiny. Common understanding for append such a document include:
- Modifying rent defrayment footing, include increases or diminution
- Extending or shortening the lease term
- Specifying extra responsibilities, such as pet policies or sublease normal
- Clarifying maintenance duty and fixture timelines
- Adding article about utility, parking, or shared space employment
- Including especial conditions during occupancy, like removed work provisions
By incorporating these element explicitly, an postscript strengthens the letting's enforceability and reduces way for conflicting interpretations. It reflects a proactive approach to property management, guarantee both landlord and tenant operate from a coordinated, documented understanding. This clarity supports smoother communication and understate future friction, especially during renewal period or when unexpected change arise.
| Mutual Addendum Types | Purpose | Example Clauses |
|---|---|---|
| Rent Readjustment | Update payment amount or schedule | Annual rent increase of 3 %, effective January 1st |
| Lease Term Extension | Extends length beyond original end engagement | Extension by six month subject to mutual consent |
| Upkeep Province | Defines who cover repairs and upkeep | Landlord creditworthy for structural topic; renter for interior cleaning |
| Utilities and Expense | Clarifies parcelling of utility cost | Tenant pays electricity and h2o; landlord continue refuse administration |
| Special Conditions | Addresses unique tenancy needs | Remote employment frame-up approved with prior notice |
| Key Benefit: | Ensures all adjustment are recorded and adhere | Reduces ambiguity and strengthens legal standing |
| Good Recitation: | Always cite the original rental turn and date | Facilitates leisurely designation and verification |
Billet: Always check the postscript is signed and date by all company to keep effectual validity.
When blueprint an supplement, precision in words is indispensable. Undefined terms like "reasonable adjustments" invite dispute; instead, define particular clearly - such as accurate engagement, monetary value, or actionable measure. This specificity reinforces answerability and assist prevent future discrepancy over interpretation. Additionally, store both the original lease and addendum in a secure, approachable fix support compliance during audit or inspection. Regularly review and updating postscript as occupancy acquire proceed agreements relevant and enforceable over time.
Note: An postscript does not supplant the original lease but complement it - never rely solely on verbal accord when formal certification is need.
The integration of an addendum into a lease templet requires careful care to formatting and legal alignment. Including a dedicated section label "Addendum To Lease Template" within the main document ensures easy navigation and consistent application across multiple occupancy. This subdivision should clearly province its purpose, list ask fields, and guide users through each modification footstep. By embedding structure addendum clause, landlord and property director foster transparency, reduce administrative errors, and uphold master standards throughout the rental lifecycle. This access transubstantiate a electrostatic lease into a active, adaptable agreement that evolves with real-world needs while preserving legal integrity.
Related Footing:
- supplement guide costless
- rental postscript guide word
- sample postscript to lease
- costless printable lease extension addendum
- sampling addendum to lease agreement
- lease renewal addendum template